Texto 4A01-I
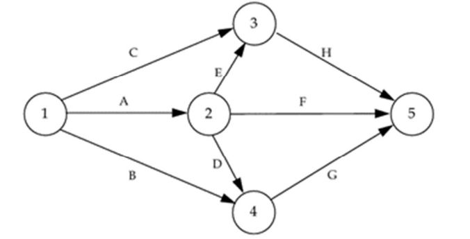
Para planejar a execução da obra do estacionamento de um órgão público, foram listadas oito atividades, cujos tempos de duração, em semanas, constam na tabela seguinte. A partir da ordem dessas atividades, desenhou-se a rede PERT/CPM, que está representada na figura.
atividade | duração | atividades precedentes |
A | 3 | - |
B | 6 | - |
C | 2 | - |
D | 4 | A |
E | 2 | A |
F | 8 | A |
G | 4 | B, C |
H | 3 | C, E |

Com base nas informações apresentadas no texto 4A01-I, assinale a opção que corresponde à sequência de atividades críticas (caminho crítico) para a execução da referida obra.