Magna Concursos
3316550 Ano: 2023
Disciplina: Engenharia Eletrônica
Banca: IF-ES
Orgão: IF-ES

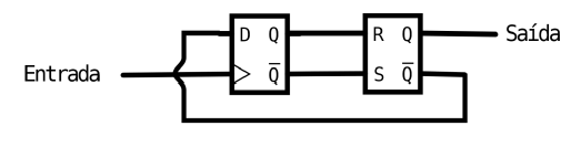
Deseja-se implementar um circuito digital para ligamento e desligamento de uma saída utilizando apenas uma entrada. Quando a entrada gerar um pulso, a saída ligará. Quando um novo pulso for gerado pela entrada, a saída desligará. O circuito que apresenta essa implementação é:

 

Provas

Questão presente nas seguintes provas

Professor PEBTT - Engenharia Elétrica

50 Questões