Magna Concursos
376656 Ano: 2013
Disciplina: Engenharia Mecânica
Banca: IADES
Orgão: SUDAM
Provas:
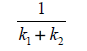
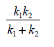
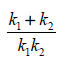
Estruturas sob condições dinâmicas de operação podem ser investigadas a partir de modelagens numéricas que fazem uso de procedimentos de discretização. Assinale a alternativa correspondente à rigidez equivalente de um sistema montado com duas molas em série com rigidez k1 e k2, respectivamente.
 

Provas

Questão presente nas seguintes provas

Engenheiro Mecânico

50 Questões