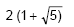
Um retângulo é chamado de "Áureo" quando a razão entre as medidas do lado maior e menor é igual à razão entre a soma das medidas dos lados e o lado maior. Se a figura representa um retângulo áureo, a medida do lado maior é, em centímetros, igual a

Provas
Questão presente nas seguintes provas