No que diz respeito aos circuitos de corrente alternada (CA) em regime permanente senoidal, julgue o item.
Uma corrente
divide-se pelo paralelo de duas
impedâncias Z1 e Z2, de modo que a corrente pela
impedância Z1 pode ser calculada como 
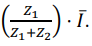
Uma corrente
divide-se pelo paralelo de duas
impedâncias Z1 e Z2, de modo que a corrente pela
impedância Z1 pode ser calculada como 