Considere o cronograma apresentado pelo gráfico abaixo:

Neste caso, o caminho crítico é formado pela sequência de atividades:
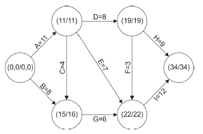
Considere o cronograma apresentado pelo gráfico abaixo:

Neste caso, o caminho crítico é formado pela sequência de atividades: