Magna Concursos
3407243 Ano: 2016
Disciplina: Química
Banca: IF-RS
Orgão: IF-RS

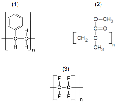
Assinale a alternativa que relaciona CORRETAMENTE a nomenclatura dos polímeros com as suas respectivas estruturas químicas apresentadas nas figuras abaixo:

Enunciado 3898775-1

Figuras extraídas de: CANEVAROLO Jr, S. V. Ciência dos Polímeros. Artliber, 2002. p.173

 

Provas

Questão presente nas seguintes provas

Professor PEBTT - Engenharia de Materiais

40 Questões