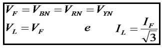
O circuito a seguir representa uma ligação estrela.

Para determinar tensões e correntes de fase e de linha, devem ser usadas as fórmulas

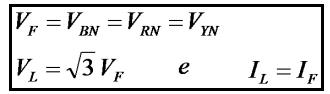
Para determinar tensões e correntes de fase e de linha, devem ser usadas as fórmulas