Magna Concursos
124236 Ano: 2010
Disciplina: Matemática
Banca: CESPE / CEBRASPE
Orgão: INMETRO
Provas:
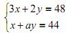
Um técnico é incumbido de examinar alguns lotes de instrumentos de medida. Em cada lote, ele separa os instrumentos descalibrados dos sem defeito. Em determinado lote, ele verifica que o número de instrumentos sem defeito, x, e o número de instrumentos descalibrados, y, são as soluções do sistema linear enunciado 124236-1,em que a é um número real.

Nessa situação, sabendo-se que o determinante da matriz dos coeficientes desse sistema é igual a 7, é correto afirmar que o número de instrumentos examinados nesse lote foi
 

Provas

Questão presente nas seguintes provas

Técnico - Metrologia

60 Questões