3241425
Ano: 2024
Disciplina: TI - Desenvolvimento de Sistemas
Banca: DIRENS Aeronáutica
Orgão: EEAr
Disciplina: TI - Desenvolvimento de Sistemas
Banca: DIRENS Aeronáutica
Orgão: EEAr
Provas:
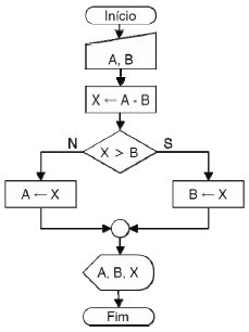
Analise o diagrama de blocos abaixo e assinale a alternativa que apresenta qual será a sequência exibida no display do usuário ao fim do programa quando os valores de entrada de A e B são 9 e 3 respectivamente.

Provas
Questão presente nas seguintes provas