Magna Concursos
2530223 Ano: 2016
Disciplina: Química
Banca: UFRGS
Orgão: UFRGS

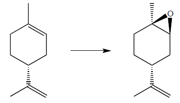
Um aluno de pós-graduação tem como tarefa estudar a seguinte reação química:

Enunciado 3216897-1

Para quantificar seus resultados, a técnica adequada a usar é a

 

Provas

Questão presente nas seguintes provas

Técnico de Laboratório - Química

20 Questões