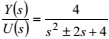
Considere a função de transferência do sistema de segunda
ordem abaixo:

Admitindo-se que 2s no denominador pode ser positivo ou negativo, a função:

Admitindo-se que 2s no denominador pode ser positivo ou negativo, a função:
Provas
Questão presente nas seguintes provas
Analista Judiciário - Engenharia Eletrônica
70 Questões