Em junho de 2001, um rapaz de 33 anos de idade foi executado em Indiana, nos Estados Unidos da América, com uma injeção letal, composta de soluções aquosas de tiopentato de sódio, brometo de pancurônio e cloreto de potássio. Ele e um amigo haviam sido condenados, em 1997, pela explosão de uma bomba em um prédio do governo federal em Oklahoma City, com base em depoimentos de testemunhas e na identificação de duas impressões digitais, uma presente em um recipiente que continha nitrato de amônio − o composto utilizado na fabricação da bomba − e outra encontrada na caminhonete que explodiu em frente ao prédio.
Internet: <guiadoestudante.abril.com.br> (com adaptações).
Considerando as informações do texto acima e sabendo que as massas molares do K e do C!$ \ell !$ são, respectivamente, 40 g.mol-1 e 35 g.mol-1, julgue o item a seguir.
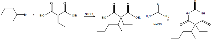
Considerando-se a reação ilustrada abaixo, correspondente à síntese do tiopental, em que "Et" refere-se ao grupo etil, é correto concluir que a síntese dessa molécula se inicia com uma alquilação em uma molécula pertencente ao grupo éster.
Considerando-se a reação ilustrada abaixo, correspondente à síntese do tiopental, em que "Et" refere-se ao grupo etil, é correto concluir que a síntese dessa molécula se inicia com uma alquilação em uma molécula pertencente ao grupo éster.
