Magna Concursos
3434615 Ano: 2024
Disciplina: Matemática
Banca: FCC
Orgão: BAHIAGÁS

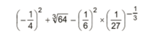
Considere a expressão numérica a seguir.

Enunciado 3957106-1

O resultado da expressão está entre os inteiros

 

Provas

Questão presente nas seguintes provas

Técnico de Processos - Organizacional

60 Questões