Magna Concursos
1182628 Ano: 2018
Disciplina: Química
Banca: QUADRIX
Orgão: SEDUC-GO
Provas:
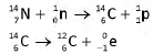
O principal isótopo do elemento carbono (6C) é o carbono-12 (12C), mas uma proporção pequena de carbono-14 (14C) também está presente nos seres vivos. Os núcleos de 14C são produzidos quando os núcleos dos átomos de nitrogênio (7N), presentes na atmosfera, são bombardeados por nêutrons formados nas colisões dos raios cósmicos com outros núcleos. Os átomos de 14C são incorporados nos organismos vivos como 14CO2, por meio da fotossíntese e da digestão. Posteriormente, esses átomos de 14C alcançam um estado de maior estabilidade, por meio da emissão de uma partícula β.
Considerando o texto acima, assinale a alternativa que apresenta, correta e respectivamente, essas transformações.
 

Provas

Questão presente nas seguintes provas

Professor - Química

70 Questões