
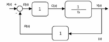
Considere o sistema representado pelo diagrama de blocos acima, no qual se tem uma planta, um controlador e uma malha de realimentação. Nesse diagrama, T representa uma constante e s é o operador da transformada de Laplace. Acerca desse sistema, julgue o item subsequente.
A função de transferência do sistema em tela entre a saída Y(s) e a entrada X(s) é igual a !$ \dfrac{T}{Ts+1} !$