Para responder à questão, leia o texto.
Embalagem comestível
Revestimento orgânico protege frutas, legumes e carnes
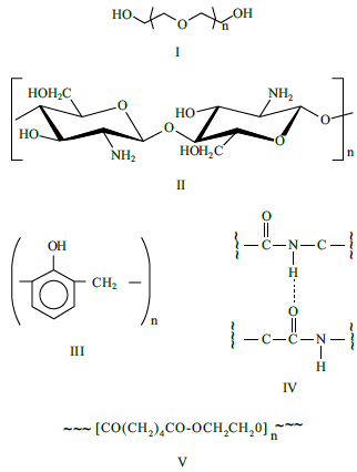
A novidade faz parte de um estudo realizado em parceria entre pesquisadores brasileiros e portugueses para o desenvolvimento de filmes e revestimentos comestíveis para fins alimentares. Os nanofilmes ou nanorevestimentos comestíveis são películas finas incolores, invisíveis a olho nu, que envolvem completamente o alimento. São constituídos por várias camadas de polissacarídeos naturais, tais como a quitosana, o alginato, o policaju e a pectina. A embalagem serve para prolongar o tempo de prateleira de frutas, verduras, laticínios, carnes, pescados e outros alimentos perecíveis.
(Revistapesquisa.fapesp.br Edição Impressa 188 – Outubro 2011. Adaptado)
Considere as estruturas representadas a seguir.

É correto afirmar que as nanopelículas comestíveis, quando aplicadas na superfície de frutas, legumes e carnes, prolongam o tempo de prateleira desses alimentos porque