Magna Concursos
767497 Ano: 2010
Disciplina: Matemática
Banca: FCC
Orgão: TRT-9
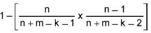
A inspeção para o controle de qualidade de uma firma examinou os itens de um lote que tem n peças boas e m peças defeituosas (n é muito maior do que m). Uma verificação dos primeiros k(k < m ? 1) itens mostrou que todos eram defeituosos. A probabilidade de que, entre os dois próximos itens selecionados ao acaso, dos restantes, pelo menos um seja defeituoso é:
 

Provas

Questão presente nas seguintes provas

Analista Judiciário - Estatística

60 Questões