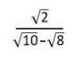
Considerando-se o resultado da expressão abaixo, qual é o menor número inteiro que é maior do que ele?

Provas
Questão presente nas seguintes provas
Agente de Trânsito
50 Questões
Guarda Municipal
50 Questões
Técnico de Enfermagem
50 Questões
Técnico de Radiologia
50 Questões