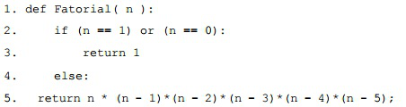
O trecho de código Python é uma função recursiva para o cálculo do fatorial de um número natural qualquer. Entretanto, apresenta um erro de programação.

Em qual linha está o erro e como consertá-lo para que a função cumpra corretamente o seu propósito?