Em termos de programação estruturada, dados hierárquicos são
representados de forma adequada através da estrutura
denominada árvore. As árvores binárias restringem o número
máximo de filhos a dois, e o tipo AVL balanceia a altura através
de rotações, garantindo que o tempo de acesso a qualquer
informação seja o menor possível.
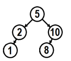
Considere a árvore apresentada a seguir, onde a regra define valores menores à esquerda e maiores à direita.

Com a inclusão do valor 7, a operação que ocorre é:
Considere a árvore apresentada a seguir, onde a regra define valores menores à esquerda e maiores à direita.

Com a inclusão do valor 7, a operação que ocorre é: