Magna Concursos
2099266 Ano: 2021
Disciplina: Química
Banca: IUDS
Orgão: IF-RJ
Provas:

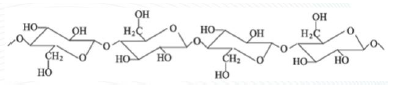
Observe a imagem, e indique a resposta correta, correspondente a ela

Enunciado 2099266-1

 

Provas

Questão presente nas seguintes provas

Químico

50 Questões