Magna Concursos
133035 Ano: 2016
Disciplina: Matemática
Banca: CONPASS
Orgão: Pref. Carpina-PE
Provas:

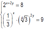
O sistema de equações abaixo tem como solução o par ordenado ( X; Y) igual a ?

enunciado 133035-1

 

Provas

Questão presente nas seguintes provas

Assistente Adiministrativo

40 Questões