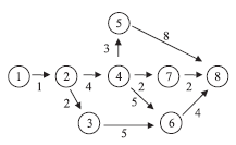
Considerando o diagrama de PERT/CPM apresentado, no qual os eventos estão representados por cículos e a duração das atividades (em semanas) entre eventos é dada ao lado das setas, é correto afirmar que

Considerando o diagrama de PERT/CPM apresentado, no qual os eventos estão representados por cículos e a duração das atividades (em semanas) entre eventos é dada ao lado das setas, é correto afirmar que
