Magna Concursos
280927 Ano: 2017
Disciplina: Matemática
Banca: QUADRIX
Orgão: SEE-DF
Provas:

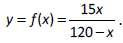
Para concluir uma obra em x dias, a empreiteira de engenharia previu que a quantidade de operários necessária, y, poderia ser expressa por uma função da forma: Enunciado 280927-1 A respeito dessa situação, julgue o item subsequente.

A função inversa de y = f(x) pode ser expressa por Enunciado 280927-2

 

Provas

Questão presente nas seguintes provas

Professor - Engenharia

100 Questões