Magna Concursos
2484754 Ano: 2014
Disciplina: Química
Banca: COTEC
Orgão: Pref. Unaí-MG
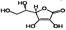
A vitamina C encontra-se representada pela estrutura abaixo.
Enunciado 2809456-1
A molécula de vitamina C apresenta
 

Provas

Questão presente nas seguintes provas

Professor da Educação Básica - Ciências

25 Questões