822497
Ano: 2012
Disciplina: TI - Desenvolvimento de Sistemas
Banca: CESPE / CEBRASPE
Orgão: INPE
Disciplina: TI - Desenvolvimento de Sistemas
Banca: CESPE / CEBRASPE
Orgão: INPE
Provas:
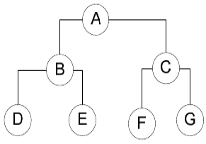
Percorrendo a árvore binária a seguir em pré-ordem, obtemos que sequência de caracteres?
