Magna Concursos
722529 Ano: 2007
Disciplina: Matemática Financeira
Banca: CESGRANRIO
Orgão: TCE-RO

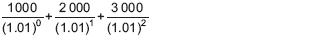
A taxa de juros sendo de 1% a. m., qual o valor atual de um fluxo financeiro composto de três pagamentos: R$ 1 000,00 daqui a um mês, R$ 2 000,00 em dois meses e R$ 3 000,00 em 3 meses?

 

Provas

Questão presente nas seguintes provas

Economista

70 Questões

Técnico de Controle Externo - Economia

80 Questões