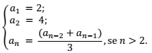
Considere a sequência lógica numérica definida pela seguinte lei de formação:

Assim, para n ∈ ℕ , o sétimo termo dessa sequência é:
Provas
Questão presente nas seguintes provas
Auxiliar Administrativo
40 Questões
Auxiliar de Controle Interno
40 Questões
Orientador ou Educador Social
40 Questões
Técnico - Meio Ambiente
40 Questões
Técnico de Enfermagem
40 Questões