Os cães podem ser treinados para identificar certas substâncias, dentre elas, a cocaína. Contudo, no treinamento, os cães não precisam ser expostos à cocaína para aprenderem a reconhecer o seu odor.
O treinamento pode ser realizado com o benzoato de metila, um éster de odor pungente, produto volátil da degradação da cocaína.

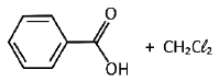
Considerando o exposto, qual das reações representadas poderia gerar o mesmo éster capaz de atrair um cão treinado para a identificação de cocaína?