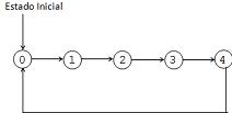
Deseja-se construir um circuito sequencial síncrono, a partir de fiip-fiops JK master-slave, que gerem a sequência de estados lógicos indicados abaixo. Um pulso de “reset" é gerado automaticamente, quando o circuito é alimentado, a fim de assegurar o estado inicial especificado. As mudanças de estado devem ocorrer devido a pulsos aplicados às entradas de “clock" (ck) dos fiip-fiops. Com base nisso, a equação de controle do fiip-fiop mais significativo é.

