Magna Concursos
598137 Ano: 2018
Disciplina: Matemática
Banca: IBADE
Orgão: Pref. Ji-Paraná-RO
Provas:

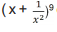
O termo independente de x no desenvolvimento do binômio de Newton enunciado 598137-1 é:

 

Provas

Questão presente nas seguintes provas

Professor - Matemática

60 Questões