Magna Concursos
1706833 Ano: 2001
Disciplina: Matemática
Banca: FGV
Orgão: SPTrans
Provas:

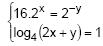
A solução do sistema Enunciado 1706833-1 é um par ordenado (x, y), tal que x – y vale

 

Provas

Questão presente nas seguintes provas

Especialista em Transporte

60 Questões