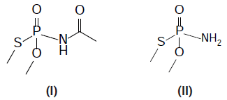
O Ministério da Agricultura liberou o uso de 31 novos agrotóxicos no Brasil (publicação do DOU, de 25/05/2019), dos quais 8 são considerados extremamente tóxicos pela Agência Nacional de Vigilância Sanitária (Anvisa). O inseticida acefato (I) é proibido na União Europeia, enquanto desponta entre os agrotóxicos mais vendidos no Brasil. Apesar de sua baixa toxicidade aos humanos, ele tem como primeiro metabólito o metamidofós (II), altamente tóxico. A seguir estão as estruturas moleculares do acefato e seu metabólito:

Assinale a alternativa que apresenta a forma mais apropriada de detecção dessas substâncias após procedimento de extração e separação por cromatografia gasosa.