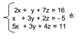
O livro Chui chang suan-shu ou Nove capítulos, escrito por volta de 250 a.C., é, segundo Boyer (1996), um dos livros mais importantes e influentes da história da Matemática chinesa e mundial. Nesta obra, encontram-se alguns diagramas que representam um sistema de equações lineares (Figura 1) e a sua respectiva solução (Figura 2).

Sabendo-se que os chineses efetuavam as operações sobre as colunas, o diagrama que representa a solução do sistema de equações
