O problema apresentado a seguir, encontrado no Papiro Matemático Rhind ou Ahmos - 1650 a.C -, envolve a noção de progressão aritmética.
"Divida 100 pães por 5 homens, de modo que as quantidades recebidas por cada um estejam em progressão aritmética e que a soma das duas quantidades menores seja igual a
da soma das outras três."
Com base nessas informações e designando por a o termo inicial e por r a razão da progressão aritmética, julgue os itens a seguir.
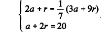
A solução do problema egípcio também é solução do seguinte sistema de equações lineares: 