Magna Concursos
289347 Ano: 2016
Disciplina: TI - Desenvolvimento de Sistemas
Banca: FCM
Orgão: IFFar
Provas:

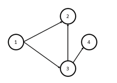
A partir da análise do grafo abaixo,

Enunciado 289347-1

é correto afirmar que:

Questão Anulada

Provas

Questão presente nas seguintes provas

Professor - Informática

40 Questões