
A figura acima mostra o esquema para a realização da medida de vazão de um escoamento de um fluido em que se utiliza placa de orifício. Com relação ao esquema apresentado nesse processo de medida, julgue os itens a seguir.
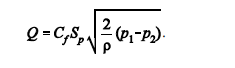
A medida da vazão do escoamento Q é um processo de medição indireta, pois só pode ser determinada a partir das medidas de pressão antes e depois da placa de orifício por meio da equação

Nessa equação, o coeficiente de fluxo Cf é determinado experimentalmente, Sp é a área do furo da placa e ρ é a densidade do fluido.
Provas
Questão presente nas seguintes provas