Se
é uma função que representa o
custo (em milhares de reais) de um hotel em função
do número de funcionários (x) e
é uma
função que representa o número de funcionários
que o hotel deve ter, em função do número de hóspedes
(t), então, o custo (em milhares de reais) que o
hotel tem com funcionários, quando hospeda 6 pessoas
é de:
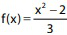
é uma função que representa o
custo (em milhares de reais) de um hotel em função
do número de funcionários (x) e
é uma
função que representa o número de funcionários
que o hotel deve ter, em função do número de hóspedes
(t), então, o custo (em milhares de reais) que o
hotel tem com funcionários, quando hospeda 6 pessoas
é de: