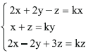
Para quantos valores de k o sistema linear
possui soluções não nulas?
Nenhum.
Um único valor positivo.
Três valores, sendo dois negativos e um positivo.
Três valores, sendo dois positivos e um negativo.
Somente dois valores positivos.
Olá, para continuar, precisamos criar uma conta! É rápido e grátis.