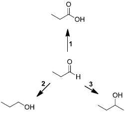
O esquema abaixo mostra três reações cujo material de partida é o propanaldeído. A partir dele é possível obter ácido propanoico, n-propanol ou 2-butanol, por via das reações 1, 2 e 3, respectivamente.

Sobre essas reações, assinale a alternativa incorreta.