Magna Concursos
1373311 Ano: 2010
Disciplina: Engenharia Eletrônica
Banca: UFRGS
Orgão: UFRGS
Provas:
INSTRUÇÃO: O enunciado a seguir refere-se à questão.
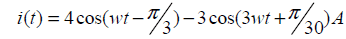
Uma carga apresenta uma corrente elétrica na forma Enunciado 1373311-1 quando submetida a uma tensão v(t) = 20cos(wt)V .
A potência média na carga equivale a
 

Provas

Questão presente nas seguintes provas

Técnico de Eletrotécnica

40 Questões