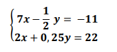
Considerando o sistema de equação a seguir, determine o valor de ![]()

Provas
Questão presente nas seguintes provas
Administrador
40 Questões
Arquiteto
40 Questões
Assistente Social
40 Questões
Biólogo
40 Questões
Contador
39 Questões
Enfermeiro
40 Questões
Engenheiro Agrônomo
40 Questões
Engenheiro Civil
40 Questões
Farmacêutico
40 Questões
Fiscal Ambiental
40 Questões
Fiscal de Tributos
40 Questões
Fisioterapeuta
40 Questões
Fonoaudiólogo
40 Questões
Instrutor de Informática
40 Questões
Médico - Clínica Geral
40 Questões
Médico - Pediatria
40 Questões
Médico Veterinário
40 Questões
Nutricionista
40 Questões
Psicólogo
40 Questões
Psicopedagogo Institucional
40 Questões