Magna Concursos
1643027 Ano: 2007
Disciplina: Matemática
Banca: VUNESP
Orgão: SPTrans
Provas:
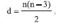
O número de diagonais de um polígono é dado pela fórmula: enunciado 1643027-1 , em que d é o número de diagonais do polígono e n é o número de lados desse polígono.

Considere as afirmações:

I. Um polígono de 8 lados tem 20 diagonais.

II. Um polígono com 25 diagonais tem 12 lados.

III. Não existe polígono que tenha exatamente 30 diagonais.

É correto o contido apenas em

 

Provas

Questão presente nas seguintes provas

Agente de Informação

50 Questões