1665268
Ano: 2012
Disciplina: Engenharia Eletrônica
Banca: ENERGIAESSENCIAL
Orgão: Pref. Julio Castilhos-RS
Disciplina: Engenharia Eletrônica
Banca: ENERGIAESSENCIAL
Orgão: Pref. Julio Castilhos-RS
Provas:
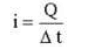
A intensidade da corrente é dada pela quantidade de carga elétrica por unidade de tempo. Então temos Onde:

I – Q = carga elétrica > Joule (J);
II – Delta t = intervalo de tempo > hora (h);
III – i = intensidade de corrente elétrica > Coulomb por segundo (C/s) = Ampere (A).
Quais afirmativas acima estão corretas?