- Química OrgânicaFunções Nitrogenadas: Amina, Amida, Nitrila, Isonitrila e Nitro Composto
- Química OrgânicaFunções Oxigenadas: Álcool, Fenol e Enol
- Química OrgânicaFunções Oxigenadas: Cetona, Aldeído, Éter, Éster, Ácido Carboxílico etc.
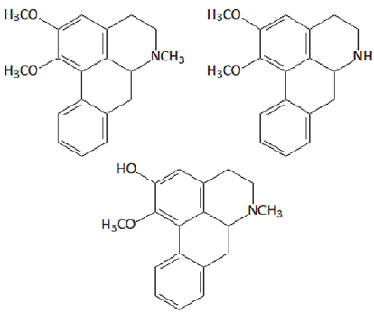
Cientistas identificaram por meio de métodos cromatográficos que o extrato das folhas de lotus possui alcaloides com efeito psicotrópico. O extrato analisado foi administrado em cobaias e apresentou efeitos que superam os de ansiolíticos atualmente utilizados, com a vantagem de apresentar menos efeitos colaterais.
Entre os alcaloides identificados estão:

Assinale a opção que indica as funções orgânicas caracterizadas pelos grupos funcionais presentes nessas moléculas.