Magna Concursos
140448 Ano: 2010
Disciplina: Matemática
Banca: CESGRANRIO
Orgão: Pref. Salvador-BA
Provas:
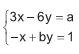
Se o sistema linear enunciado 140448-1 possui infinitas soluções reais, o produto ab é igual a
 

Provas

Questão presente nas seguintes provas