Magna Concursos
1743994 Ano: 2006
Disciplina: Matemática
Banca: IPAD
Orgão: Pref. Buíque-PE
Provas:

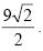
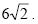
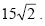
Sejam os pontos A(-3,+3), B(0,-6) e C(6,0), em um sistema de coordenadas cartesianas ortogonais. O comprimento da mediana relativa ao lado BC do triângulo ABC é:

 

Provas

Questão presente nas seguintes provas

Professor - Matemática

40 Questões