Magna Concursos
2336332 Ano: 2022
Disciplina: Matemática
Banca: FAFIPA
Orgão: UNESPAR
Provas:

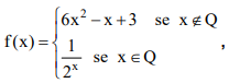
A função f, de domínio real, é dada por Enunciado 3473844-1 em que Q representa o conjunto dos números racionais. O número de soluções racionais da equação f(x) = 4 é:

 

Provas

Questão presente nas seguintes provas

Técnico Administrativo

35 Questões