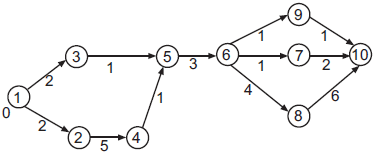
O diagrama de blocos representa a execução de um projeto de instalação de uma subestação de 120 kV, onde o evento 1 (indicado por um círculo com o numeral 1 interno) representa o início das atividades, e o evento 10 (indicado por um círculo com o numeral 10 interno) representa o fim das atividades, ou seja, o término da execução da referida subestação.

Considerando que o número colocado abaixo de cada seta indica a duração, em dias, da execução de cada uma das atividades para a conclusão dos respectivos serviços, afirma-se que a data mais cedo para a conclusão do projeto da subestação, em dias, é igual a